Исследование выполнено на 12 крысах – самцах линии Вистар массой 240–290 г, наркотизированных этаминалом натрия (хирургическая доза 50 мг/кг, поддерживающая наркоз доза – 10-12 мг/кг в час).
Напряжение кислорода на поверхности сосудов и в тканях коры головного мозга измеряли с помощью платиновых полярографических электродов (диаметр кончика включая стеклянную изоляцию составлял 3-5 мкм, рецесс – 8-10 мкм) по стандартной методике, которая подробно представлена ранее [1,30]. Наблюдение за микрососудами вели с помощью микроскопа с контактными эпиобъективами ЛЮМАМ К-1 (ЛОМО, Россия). Предельная глубина фокусировки микроскопа составляла 100-120 мкм от поверхности мозга при общем увеличении оптической системы 150 крат. Изображение микроскопического поля с помощью видеокамеры с CCD-матрицей (PIH-756) и карты видеозахвата подавалось на персональный компьютер для последующей оцифровки изображения. В процессе измерений напряжения кислорода фронтальная линза объектива (диаметр около 5000 мкм) находилась в непосредственном контакте с поверхностью мозга (без компрессии ткани), что полностью предотвращало газообмен между изучаемым микроучастком ткани и орошающим раствором.
Между концентрацией гемоглобина (Y) в крови исследованных животных и показателями гематокрита (X) наблюдалась значимая корреляция Y=0.32•X, p=0.99, n=44 ( рис.1).
Контроль. Распределение напряжения кислорода на артериолах и венулах в контроле приведено на рис.2. Характеристики распределения полностью соответствуют полученным нами ранее данным [1,2,30].
Легкая анемия (шаг 1). Снижение [Hb] в крови с исходных 14.1±0,3 г/дл до 9.8±0,3 г/дл, привела к незначительным изменениям в характере распределения напряжения кислорода на исследованных артериолах и венулах (рис.3А).
Некоторое повышение pO2 на артериолах (в среднем с 63.2±1.2 мм рт.ст. до 70.5±1.5 мм рт.ст.) обусловлено, по-видимому, соответствующим повышением pO2 в системной артериальной крови и усилением микроциркуляции, по причине снижения вязкости крови. На исследованных венулах (как пиальных, так и радиальных) напряжение кислорода практически не изменилось и составило 40.2±1.0 мм рт.ст. (n=87, среднее по всем венулам). Микроэлектродные измерения pO2 на капиллярах и в ткани показали, что снижение [Hb] до 10 г/дл (Hct 30%) не приводит к ухудшению транспорта кислорода в тканях коры головного мозга.
Выраженная анемия (шаг 2).
При снижении [Hb] в крови до ~7 г/дл (Hct 20%) отмечены выраженные системные компенсаторные реакции со стороны дыхательной (МОД составил 58±3 мл мин-1 100 г-1 против 43±4 мл мин-1 100 г-1 в контроле) и сердечно-сосудистой системы (АД снизилось до 101±4 мм рт.ст. по сравнению с 122±4 мм рт.ст. в контроле). В целом на артериолах, по сравнению с шагом 1, наблюдалось незначительное повышение pO2, тогда как на венулах напряжение кислорода снизилось существенно (в среднем до 32 мм рт.ст.). При этом на некоторых мельчайших артериолах и венулах (с диаметром просвета 7-15 мкм) были отмечены более низкие, по сравнению с основной массой данных, значения pO2 (рис.3Б).
Данный факт свидетельствует о некотором ухудшении транспорта кислорода на капиллярном уровне. Об этом также свидетельствуют прямые измерения pO2 на капиллярах. Напряжение кислорода на капиллярах низкие (5-10 мм рт.ст.), если системные и локальные компенсаторные механизмы регуляции транспорта кислорода выражены слабо (в микрососудах относительно замедлен или нарушен кровоток).
Жесткая анемия (шаг 3).
Гемодилюция до [Hb] 4-5 г/дл (Hct 13-14%) сопровождалась дальнейшим (статистически незначимым) повышением pO2 на артериолах (скорее всего, по причине дальнейшего роста pO2 в системной артериальной крови и усиления мозгового кровотока). На исследованных венулах наблюдалось снижение напряжения кислорода (в среднем до 27 мм рт.ст.), причем доля мельчайших венул с низкими значениями pO2 возросла до 31% (в контроле – 3%) (рис.3В, рис.4А).
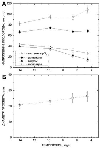
На рис.4А представлена динамика напряжения кислорода на пиальных артериолах диаметром 28.5±5.2 мкм (контроль), n=16 и пиальных венулах диаметром 21.2±3.1 мкм, n=20 при развитии анемии. Соответствующие изменения диаметра просвета артериол представлены на рис. 4Б. Следует подчеркнуть, что все измерения на этапах контроль, шаг 1 - шаг 3 были проведены на одном и том же микрососуде.
Кроме того, на рис.4А представлены результаты измерения pO2 на стенке капиллярных микрососудов. Сюда были включены как истинные капилляры, так и прекапилляры, и посткапиллярные венулы с диаметром просвета не более 10 мкм. Среднее pO2 на стенке таких микрососудов составило в контроле 43.6±2.3 мм рт.ст. (n=22), 37.9±2.4 мм рт.ст., n=34 (шаг 1), 31.9±3.2, n=39 (шаг 2) и 26.4±2.6 мм рт.ст., n=46 (шаг 3).

МЭ – кислородный микроэлектрод, метка – 50 мкм
Работа выполнена при частичной поддержке гранта РФФИ № 06-04-49274.
По материалам статьи:




